Një marrëveshje në mes të Kosovës dhe Serbisë e cila përfshinte ndryshim të kufijve ishte temë shumë prezentë në Kosovë, në kohën sa president ishte Hashim Thaçi. Edhe pse pretendohej se ekzistonin dokumente për këtë, asnjëherë nuk u publikua ndonjë deri sot.
Tani ka disa ditë që në mediat sllovene flitet për ekzistimin e një dokumenti, që kryeministri i këtij shteti i kishte dërguar BE’së, e ku flitej për ndryshim të kufijve në Ballkan.
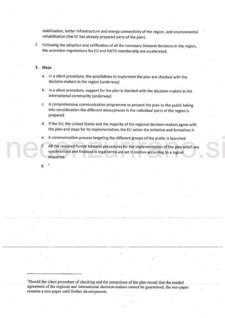
Kjo letër sot është publikuar nga mediumi hulumtues nga Sllovenia, ‘Necenzurirano’, i shkruar në anglisht e që përmbanë disa pika. Ato flasin për bashkim të Kosovës me Shqipërinë, aneksim të Republikës Srbska nga Serbia, pra bashkangjitje me këtë shtet, si dhe opsion bashkimi apo rirregullimi të territoreve kroate që janë pjesë e federatës boshnjako-kroate, pjesë e Bosnje e Hecergovinës.

Sllovenia, theksohet, se ka mbështetur nismën diplomatike të Kroacisë në lidhje me Bosnjën, e që iu bashkuan edhe Hungaria, Greqia, Bullgaria dhe Qipro.
Nuk është konfirmuar ende zyrtarisht nëse Presidenti i Këshillit të Evropës, Charles Michel, mori këtë “non-paper” nga Sllovenia.
Mediumi slloven “Necenzurirano” ka publikuar përmbajtjen e dokumentit jozyrtar diplomatik “non paper” i cili pretendohet se është dërguar nga Kryeministri i Sllovenisë, Janez Jansha në Bruksel, në të cilin ai paraqiti ide për ndarjen e Bosnje dhe Hercegovinës, aneksimin e Republikës Srpska dhe bashkimin e Kosovës me Shqipërinë, përcjell Gazeta Online Reporteri.net.
Dokumenti përmes disa pikave tregon se si mund të duket zgjidhja.
“Në Kosovë, 95 përqind e popullsisë dëshiron të bashkohet me kombin origjinal shqiptar. Situata është e ngjashme edhe në Shqipëri. Kufiri midis Shqipërisë (anëtare e NATO-s) dhe Kosovës është praktikisht inekzistent”, thuhet ndër të tjera në dokument.
Aty shtohet se pjesa serbe e Kosovës do të fitojë një status të veçantë, duke ndjekur shembullin e Tirolit të Jugut, një provincë autonome në Italinë veriore, ku shumica e popullsisë flet gjermanisht.
Tutje në dokument propozohet bashkimi i territorit të Republika Srpska me Serbinë, shkruan Reporteri.net.
“Çështja kombëtare serbe mund të zgjidhet kryesisht duke aneksuar një pjesë të Republikës Srpska në Serbi. Në këtë mënyrë, Serbia do të ishte e gatshme të pajtohet me bashkimin e Kosovës dhe Shqipërisë”, thuhet tutje në dokument.
Dokumenti flet edhe për kantonet kroate në Bosnjë, dhe si zgjidhje propozohet bashkimi i shumicës së kantoneve kroate në Bosnjë me Kroacinë ose duke i dhënë një status të veçantë pjesës kroate të Bosnjës, duke marrë shembullin e Tirolit të Jugut në Itali.
“Kjo do t’u jepte boshnjakëve një shtet funksional të pavarur dhe ata do të merrnin përgjegjësinë e plotë për të. Në një referendum potencial, njerëzit do të vendosnin nëse do të bashkoheshin me BE-në ose për një të ardhme jashtë BE-së (duke ndjekur shembullin e Turqisë)”, thekson tutje dokumenti.
Dokumenti vlerëson se pas shpërbërjes së Jugosllavisë, çështjet kombëtare të serbëve, shqiptarëve dhe kroatëve mbetën të pazgjidhura dhe se aktualisht është e vështirë të imagjinohet perspektiva evropiane e Serbisë dhe Kosovës.
Kështu do të dukej harta e re e Ballkanit, pas një marrëveshje që pretendohet se duhet të bëhet në mes palëve
Anëtarësimi i BiH në BE mund të përjashtohet plotësisht, thuhet në dokumenti.
Vlerësohet se, ndërkohë, “Turqia ka përdorur hapësirën boshe, e cila ka rritur ndikimin e saj në BiH dhe Maqedoninë Veriore” dhe se, përveç Turqisë, disa politikanë vendas dhe mbështetësit e tyre “personalisht përfitojnë nga kaosi dhe institucionet jofunksionale dhe se askush nuk është i kënaqur me situatën në BiH”.
Dokumenti thekson tutje se aktualisht “shumica dërrmuese e boshnjakëve mbështesin rrugën evropiane të Bosnjës”, por shtohet se “ndikimi i Turqisë dhe Islamit radikal po rritet me shpejtësi, gjë që mund të përkeqësojë situatën në dekadën e ardhshme”.
Dokumenti vlerëson se pas shpërbërjes së Jugosllavisë, çështjet kombëtare të serbëve, shqiptarëve dhe kroatëve mbetën të pazgjidhura dhe se aktualisht është e vështirë të imagjinohet perspektiva evropiane e Serbisë dhe Kosovës.
“Anëtarësimi i Bosnjës në BE mund të përjashtohet plotësisht”, thekson dokumenti, shkruan Reporteri.net.
Në dokument vlerësohet se “Turqia ka përdorur hapësirën boshe, duke rritur ndikimin e saj në Bosnjë dhe Maqedoninë Veriore” dhe se, përveç Turqisë, disa politikanë vendas dhe mbështetësit e tyre personalisht përfitojnë nga kaosi dhe institucionet jofunksionale dhe se askush nuk është i kënaqur me situatën në shtetin e Bosnjë dhe Hercegovinës.
Autorët e dokumentit theksojnë se Serbia, Kroacia dhe Shqipëria aktualisht kanë qeveri të qëndrueshme dhe se politikanët e tyre të zgjedhur janë të aftë të marrin vendime strategjike.
Sipas autorëve të kësaj “Non Paper”, këto “zgjidhje” do të shpejtonin negociatat për anëtarësimin e vendeve të Ballkanit Perëndimor në BE dhe NATO.
Sipas portalit slloven, propozimet nga ky dokument kundërshtohen fuqimisht nga SHBA, Gjermania, Franca dhe vendet e tjera të Evropës.
Komuniteti ndërkombëtar thekson rëndësinë e integritetit territorial të Bosnjës dhe kundërshton një përcaktim të ri të kufijve në ish-Jugosllavi.
Ata deklarojnë se kjo do të hapte kutinë e Pandorës dhe ndoshta do të çonte në luftëra të reja.
“Drita jeshile për shpërbërjen e Bosnjës dhe Hercegovinës dhe bashkimin e Kosovës me Shqipërinë do t’u jepte një impuls të ri nacionalistëve serbë në Malin e Zi dhe nacionalistëve shqiptarë në Maqedoninë Veriore, të dyja anëtare të NATO-s”, shkruan portali slloven.
Sipas informacioneve që ky medium thotë se posedon, në muajt e fundit rreth çështjes së Bosnjës ka pasur tri “non-paper” rreth Bosnjës në të cilat Sllovenia ka marrë pjesë në një mënyrë apo në një tjetër. /Reporteri.net/.